오늘은 2019년 공무원 월급표를 정리를 해봤는대요
얼마 안남은 2020년이면 또 오르겠지만, 그래도 올해 2019년도 공무원 월급표에 대해서 알아보려고 합니다.
직업을 선택함에 있어서 개인적인 시간과 안정성을 고려하면 공무원 만큼 좋은 직업은 없다고 생각을 합니다.
물론 아주 예전에도 이 직업은 사실 각광받는 직업이었어요.
요새는 나이를 불문하고 많은 분들이 도전을 하시는거 같습니다.
그때는 그래도 지금처럼 누구나 다 뛰어드는 분야는 아니었는데, 세상이 그만큼 불안하다는 거겠지요?

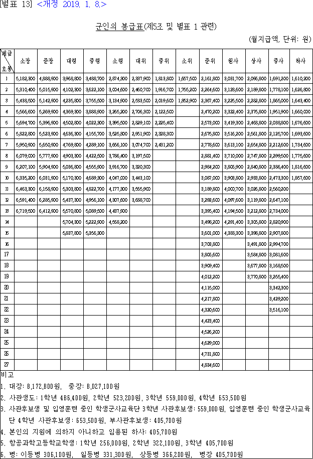
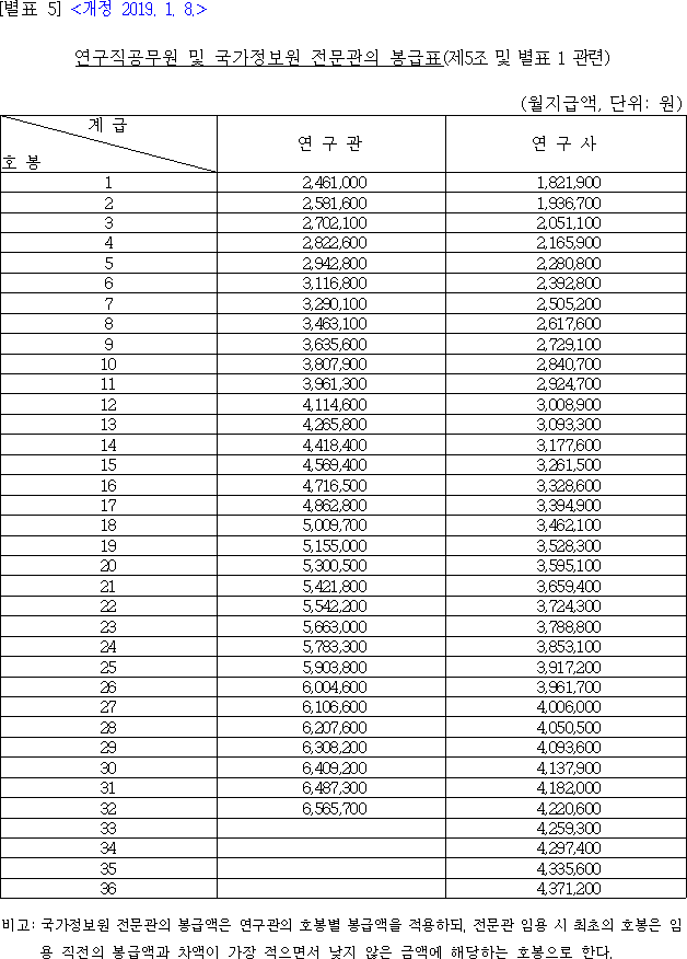
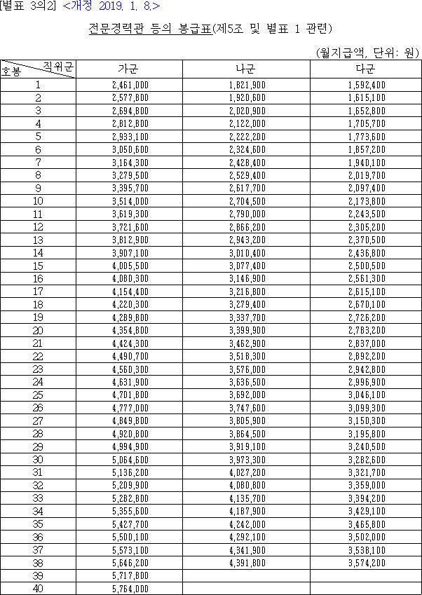
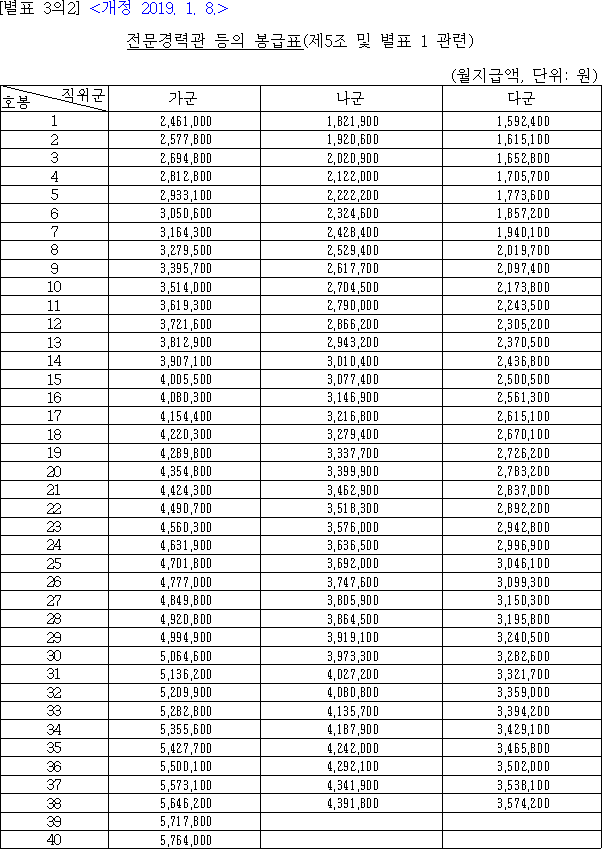
일반 행정직 봉급표 만 보면 그리 높지도 않는데 하실수도 있을것 같은데요.
수당 같은건 계산이 안되어 있는 표라서 그렇습니다.
150만원 이 안되는 급여 입니다.
혼자는 모르겠지만 가족을 꾸리고 살아 가기에는 적다면 적은 금액일수도 있습니다만...
중견 기업 정도에 입사하면 몰라도 코딱지 같이 작은 업체에는 저정도 받기에도 힘듭니다.

아무리 좋은 회사라도 정년까지 버티기 힘든 요즘의 직장이 보통이죠.
게다가 잘나가던 회사도 어느날 갑자기 사라져 버리기도 하고 말이죠.
이래 저래 고용이 불안한 세상입니다.
그런 점에서 공무원은 참 좋은 직장임에 분명해 보입니다.








이렇게 다양한 직급별로 간략하게 2019 공무원 월급표를 살펴 봤습니다.
위에서 보신 것은 기본급 개념이라는 점!
공무원 실수령액은 저 급여를 기준으로 각종 상여 수당과 가계보전 수당이 포함이 되어 있어 위 표보다는 많이 받게 됩니다.
간혹 공무원들 중에는 공제액이 겁나게 많다고 징징거리기도 하는데요.
사실 공무원 공제금액의 8할은 공무원 연금 기여금이죠.
지가 많이 넣겠다고 저축하는데 쓴 돈을 공제당해서 실수령액 적다고 찡찡거리는 꼴이 우습기도 합니다.
향후 노후에 받는 연금에 대한 큰 기대감이 있어서 많은 분들에게 사랑하는 직업이니 당연한 것 아니겠어요?
물론 힘든 곳도, 그리고 많이 힘든 곳도 있지만, 세상 어디에도 돈을 쉽게 버는 곳은 당연히 없으시니깐요!!!
그리고 진급을 하고 호봉이 올라가면서 부터 주어지는 권한 과 혜택을 따져 본다면 적다고 할수없습니다.
돈으로만 따질수 없는 부분들이 분명 있기 때문입니다.
'기타' 카테고리의 다른 글
| 오천항 쭈꾸미낚시 갔던 김건모 드론낚시 고등어낚시 성공 인스파이어2 가격 (0) | 2020.03.07 |
|---|---|
| 어서와 한국은 처음이지 2 스페인 캠핑장 가평 중바위캠핑장 (0) | 2020.03.06 |
| 부다페스트 다뉴브강 헝가리 유람선 침몰 한국인 사망 1945년 건조된 허블레아니 (0) | 2019.05.30 |
| 옛날주소로 새주소 찾기 도로명주소찾기. 구주소 신주소 변환, 구주소찾기--새주소찾기 도로명주소 검색 (0) | 2019.05.20 |
| 전지적참견시점 심형탁 국숫집 청석골잔치국수 범죄자 인식 변신 권총 애니 사이코패스 도미네이터 가격 (0) | 2018.10.18 |